Discover the joy of learning science through fun, easy-to-read articles. From breakthrough discoveries to fascinating research—enjoy science like never before.
Gene-edited islet cells survived 12 weeks in a type 1 diabetes patient with zero immunosuppression drugs, using CRISPR-Cas12b to achieve 100% HLA-II depletion.
Fresh science content, simplified for you

SleepFM AI model trained on 585,000 hours of sleep data predicts 130 diseases including dementia and heart failure from one overnight recording.
We combine cutting-edge AI with human expertise to transform dense scientific papers into engaging content anyone can understand
We curate peer-reviewed research from high-impact journals including Nature, Science, Cell, The Lancet, and NEJM
Advanced AI rewrites complex jargon into clear, engaging language in many different styles
Every article is reviewed by our team to ensure scientific accuracy and factual correctness
Choose how you want to experience science—from kid-friendly to academic
Dive into your favorite scientific disciplines
All articles link back to original peer-reviewed research from leading journals
Content is generated by AI and reviewed by our team for scientific accuracy
We're transparent about AI involvement and limitations
Content is for learning, not medical or professional advice

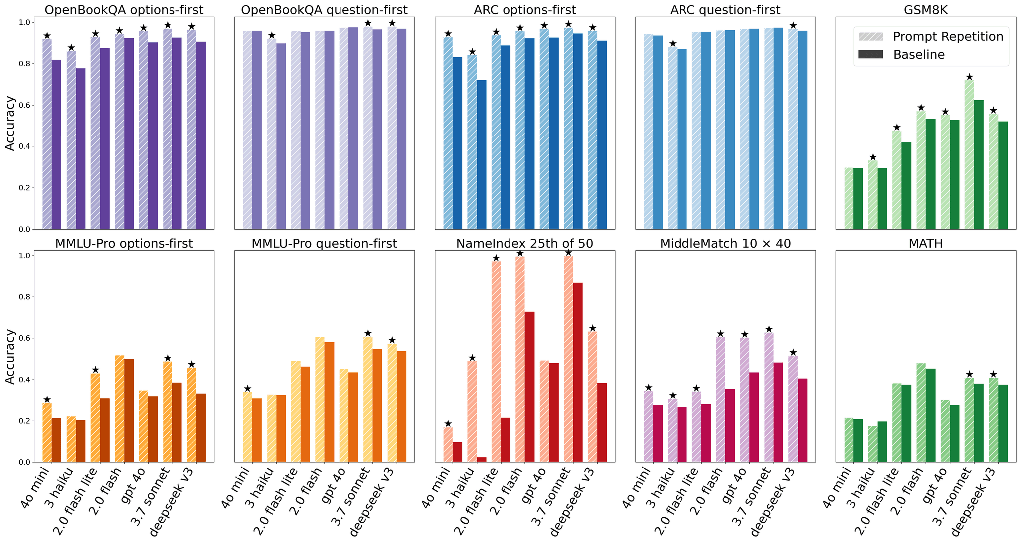
Repeating the input prompt improves accuracy across Gemini, GPT, Claude, and Deepseek models in 47 out of 70 benchmarks with zero losses and no added...

SleepFM, a foundation model trained on 585,000+ hours of sleep recordings, predicts 130 diseases from a single night's polysomnography with C-Index sc...

Gene-edited islet cells survived 12 weeks in a type 1 diabetes patient with zero immunosuppression drugs, using CRISPR-Cas12b to achieve 100% HLA-II d...

AlphaGenome is a new AI model from Google Deepmind team that analyzes massive 1-megabase chunks of DNA to predict how non-coding genetic regions funct...

Scientists gave AI a virtual computer playground. Now the AI can do math, read huge books, and even make music all by itself!
Explore articles in various styles—storytelling, comedy, podcast-style, and more
Accessible but rigorous